
1. Informações Gerais
| Objetivo: Gerenciar as informações da frota diariamente. |
Este relatório tem a função de mostrar os gastos, serviços e a frota por linha e por tipo de dia auxiliando o usuário no gerenciamento das informações diárias.
| Detalhes: |
PSE
Modulo: ESC - Escala
Acesso Globus:
Relatórios> Resumo Operacional.
| Informações Adicionais: |
2. Tela Desenvolvida para Atender os Filtros do Relatório.
Para atender as informações que deveram retornar no relatório, foi desenvolvida uma Nova Tela de Resumo Operacional com os filtros necessários para retornar os dados solicitados. Esses filtros retornaram as informações de quantidade de horas dos serviços, os valores referentes a quantidade de horas normais e horas extras apontadas nos serviços assim como a quantidade de veículos escalados, Figura 1.

Figura 1. Tela de Resumo Operacional.
2.2. Descrição dos Campos.
Item 1. Empresa: Campo com descrição da Empresa;
Item 2. Filial: Campo com a Descrição da Filial;
Item 3. Escala: Campo com as descrições dos filtros Diária ou Padrão, onde será selecionado qual o filtro deverá retornar no relatório, os dados da Escala Diária, de acordo com a data, já a Escala Padrão retornará os dados de acordo com Tipo de Dia observando que a busca será feita na Escala Padrão Ativa na data da busca;
Item 4. Tipo de Dia: Esse campo retorna no relatório para os dados da Escala Padrão o Tipo de Dia selecionado no Item 3, Uteis, Sábado, Domingo;
Item 5. Data: A data retornará os dados para a Escala Diária selecionada neste Campo;
Item 6. Filtro de Linhas: Neste campo o usuário deverá selecionar se o relatório retornará as informações de linhas ou Grupo de Linhas;
Item 7. Base de Calculo da Jornada: Neste campo o usuário irá selecionar a jornada de trabalho que será utilizada para o calculo da quantidade das horas normais e horas extras;
Item 8. Valor Horas: Neste campo será apontado o valor para o calculo das horas normais e horas extras;
Item 9. Veículos: No campo de veículos o usuário filtrará se no relatório serão apresentado os dados de frota. Neste campo estando o campo Desmarcado conta Só o serviço que tem veículo. Marcado contabiliza todos os serviços;
Obs.: É importando esclarecer que os filtros foram desenvolvidos com independência desta forma uma vez o filtro de frota estando Desmarcado retornará a quantidade de veículos que estejam na programação se algum serviço estiver sem veículo escalado este veículo não será contabilizado, mais a quantidade de horas deste serviço não será alterado pela falta deste carro.
Item 10. Linhas Cadastradas: Neste campo o usuário filtrará as linhas as quais terão suas informações retornadas no relatório, este filtro pode ser alterado para Grupo de Linhas dependendo do filtro realizado no Item 6.
Item 11. Botão Visualizar: Finaliza o preenchimento dos filtro e inicia a geração do relatório de Resumo Operacional.
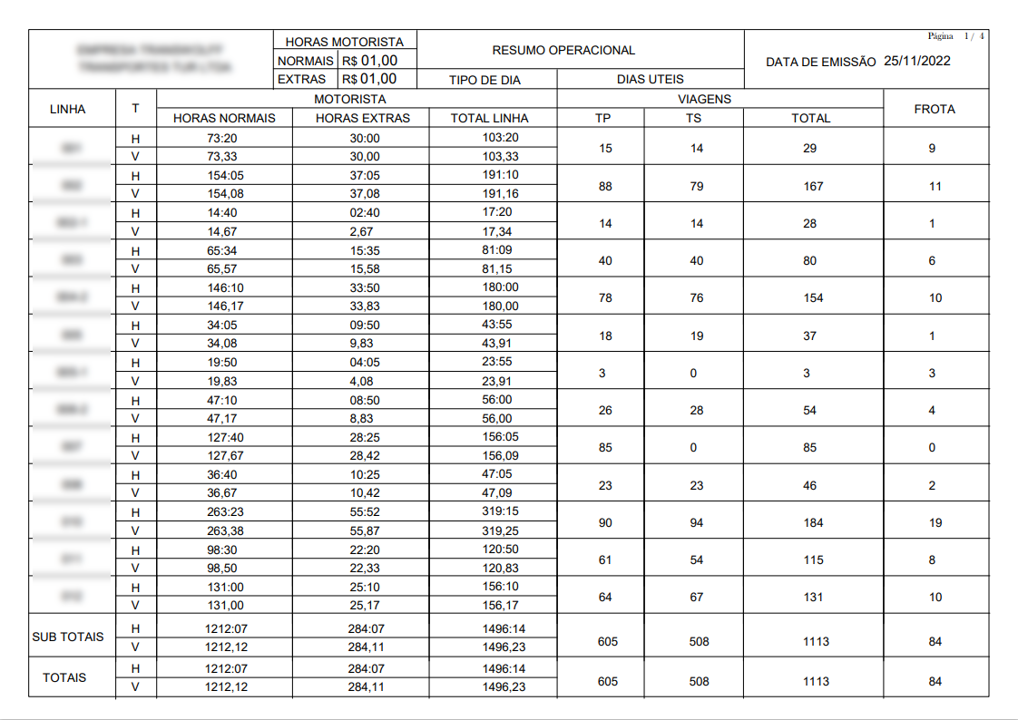
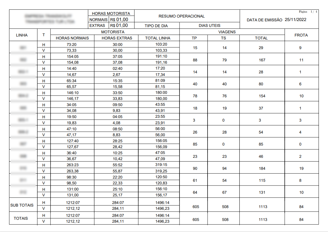
3. Relatório de Resumo Operacional.
O relatório é gerado com os dados dos filtros antes selecionados no campo de Filtro de Linhas. Seguindo o modelo estabelecido pelo cliente. No caso do relatório temos o relatório de Linhas (Figura 2) e o relatório de Grupo de Linhas (Figura 3). Estes relatórios tem o mesmo layout alterando somente as informações de acordo com o tipo de relatório selecionado.

Figura 3. Relatório Filtro de Linhas
Figura 3. Relatório Filtro de Grupo de Linhas
3.1. Diferença nas Informações no Relatório de Linhas e de Grupo de Linhas.
Relatório de Linhas: No campo de Filtro de Linhas selecionando LINHAS o usuário tem a possibilidade de selecionar somente as linhas que ele quer que retorne no relatório, pode ser usando quando o usuário não tiver a necessidade de ter informação de todas as linhas, podendo filtra uma ou mais linhas.
Relatório de Grupo de Linhas: No campo de Filtro de Linhas selecionando GRUPO DE LINHAS, as informações que retornaram no relatório serão todas as informações do grupo de linha selecionado sem opção de não trazer alguma linha. Uma vez selecionado o grupo o sistema retorna todas as informações do grupo.
4. Grid de SUB TOTAIS e Grid de TOTAIS.
O Grid de Sub Total soma os valores de todas as colunas do relatório, e está presente em todas as paginas do relatório, desta forma o usuário terá uma visão dos resultados por pagina e poderá analisar estas informações pagina a pagina de forma resumida, Figura 4.
O Grid de Total está presente em todas as paginas e soma o total de cada página até que na última página apresente um total geral dos dados gerados, dando uma visão mais ampla das informações contidas no relatório, Figura 4.

Figura 4. Filtros de SUB TOTAO E TOTAL
Todos os dados solicitados estão em amostra no relatório, os filtros deste relatório estão retornando as informações da Escala Padrão e caso o usuário necessite também pode retornar as informações existentes na Escala Diária.
As informações do relatório são dos dados programados na escala, desta forma o usuário terá como realizar um comparativo entre programado e realizado, e auxiliar na tomada de decisão além da analise de custo da linha informações de viagens e quantidade de frota utilizada.
Em caso de dúvidas, favor abrir um ticket no portal do cliente através do link http://portaldocliente.praxio.com.br para que possamos esclarecê-la.
Este artigo foi útil?
Que bom!
Obrigado pelo seu feedback
Desculpe! Não conseguimos ajudar você
Obrigado pelo seu feedback
Feedback enviado
Agradecemos seu esforço e tentaremos corrigir o artigo
